有功(無功)功率變送器
產品編號:Pro200724101928
產品型號:
更新時間:2013.07.21
企業單位:
瀏覽次數:
產品詳細介紹:
有功(無功)功率變送器型號:YWD-P1(Q1)

一、概述
有功功率變送器、無功功率變送器是一種將被測有功和無功功率轉換成按線性比例輸出的直流電流或直流電 壓。并能反應出被測功率的傳輸方向。適用于各種單相、三相三線和三相四線系統,可廣泛用于石油、郵電、冶 金、鐵道、市政、電力等部門的電氣裝置。
二、型號及外形尺寸
單相有功功率變送器型號:YWD-P1
單相無功功率變送器型號:YWD-Q1
單相有功、無功功率組合變送器型號:YWD-PQ1
三相三線有功功率變送器型號:YWD-P3
三相三線無功功率變送器型號:YWD-Q3
三相三線有功、無功功率組合變送器型號:YWD-PQ3
三相四線有功功率變送器型號:YWD-P4
三相四線無功功率變送器型號:YWD-Q4
三相四線有功、無功功率組合變送器型號:YWD-PQ4
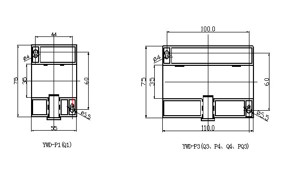
外型尺寸: YWD-P1(Q1): 55mm×75mm×120mm
其余: 110mm×75mm×120mm
三、執行標準
GB/T13850-1998idtIEC688:1992
四、主要技術指標
a) 精度等級 0.2級、0.5級
b) 輸入、輸出及輔助電源參數
|
Vn 輸入電壓 |
V1 100V |
V2 220V |
V3 270V |
V4 400V |
On 輸 出 | |||
|
An 輸入電流 |
A1 1A |
A2 5A |
A3 10A |
O5 0~1V |
O6 0~±1V |
O7 0~5V |
O8 0~±5V | |
|
Pn 輔助電源 |
P1 DC24V±15% |
P2 DC12V±10% |
P3 AC220V±15% |
P4 用戶自定 |
O1 0~20mA |
O2 0~±20mA |
O3 4~20mA |
O4 4~12~20mA |
標準輸入滿度值
|
型 號 |
接 線 |
標準輸入滿度值(W/var) | ||||||||||
|
V1(100V) |
V2(220V) |
V3(270V) |
V4(400V) | |||||||||
|
1A |
5A |
1A |
5A |
1A |
5A |
1A |
5A | |||||
|
YWD-P1、YWD-Q1、YWD-PQ1 YWD-P3、YWD-Q3、YWD-PQ3 YWD-P4、YWD-Q4、YWD-PQ4 |
單相 三相三線 三相四線 |
100 173 300 |
500 866 1500 |
200 400 600 |
1000 2000 3000 |
250 500 800 |
1300 2500 4000 |
400 700 1200 |
2000 3500 6000 | |||
c) 過載輸入 電流:2倍連續 30倍15秒 100倍1秒
電壓:2倍連續
d) 響應時間 ≤300ms
e) 吸收功耗:電壓回路:<0.2VA/100V
電流回路:<0.1 VA/5A
f) 負載能力 ≤650Ω
g) 工頻耐壓 輸入/輸出/外殼間:AC2kV/min
h) 沖擊電壓 5kV/1.2~50μs(峰值)
i) 絕緣強度 ≥100MΩ
j) 工作環境 溫度:-10~50℃ 濕度:10~90%(無凝露)
k) 貯藏條件 溫度:-40~70℃ 濕度:10~95%(無凝露)
五、接線圖
六、安裝
DIN導軌和盤面螺釘兩種方式固定,導軌寬度為35mm,螺釘大小為M4×12。
七、產品調試
1、 單有功或單無功功率變送器:打開對應于變送器面板上相應的ZERO和CAL兩個橡皮塞,其內的二個電位器分別為零點和滿度調校電位器,調校時用小鏍絲刀慢慢旋轉至所需精度即可。
2、 有功功率、無功功率組合變送器:打開對應于變送器面板上相應的ZERO1、CAL1和ZERO2、CAL2四個橡皮塞,其內的四個電位器分別為有功功率的零點和滿度及無功功率的零點和滿度調校電位器,調校時用小鏍絲刀慢慢旋轉至所需精度即可。
3、產品出廠時已調校好零點和精度,請勿隨意調整。
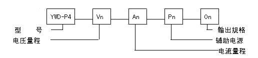
八、訂貨須知
簽定訂貨合同時應詳細寫明所需的規格、電源及輸出參數,并按下列格式將代號填入,特殊規格請用文字
說明。

例1:YWD-P4-V3-A2-P1-O3
YWD-P4型三相四有功功率變送器
輸 入:270V 5A
輔助電源:DC24V±15%
輸 出: 4~20mA/-4000W~0~+4000W
例2:YWD-PQ3-V1-A2-P3-O8
YWD-PQ3型三相三線有功、無功功率組合變送器
輸 入:100V 5A
輔助電源:AC220V±15%
輸 出:0~±5V/0±~866W(var)
九、注意事項:
1、連接線須***用屏蔽線,且電源線、輸入線和輸出線須***分離。
2、使用環境應無導電塵埃和無腐蝕金屬和破壞絕緣的氣體存在,海拔高度小于2500米。
3、產品出廠時已調校好零點和精度,請勿隨意調整。
十、安裝尺寸(底部視圖)



